Salut cher(e) ami(e) 👋,
J'espère que tes vacances puis ta reprise se sont bien passées ?
Les vacances sont toujours les bienvenues, mais reprendre les cours aussi 😄
Avant les vacances, je t’avais dit que j'allais profiter du temps libre pour m'avancer sur certains projets. Eh bien c'est chose faite 😉. Je profite donc de cette petite introduction afin de te présenter la dernière modification au site 👇
Cela fait un bon moment que je me disais qu'il fallait mettre à jour la page contenant les documents PDF que je mets à ta disposition : Cours, exercices, corrections etc. C'est chose faite maintenant ! J'ai revu le fond comme la forme. J'espère qu'elle va te plaire ! N'hésite pas à me dire ce que tu en penses par retour de mail 🙏
Sans trop attendre, attaquons le vif du sujet !
😮💨L'ego...Où l'ennemi absolu du mathématicien.
Il y a quelques semaines, je t'ai parlé d'une des difficultés mentales que certains élèves doivent surmonter : leur tendance à se sous-estimer et à avoir peur de l'échec.
Aujourd'hui, parlons plutôt de l'autre revers de la médaille. D'un danger bien plus important à mon humble avis : celui de se surestimer, d'avoir la grosse tête.
Tu penses peut-être que c'est quelque chose qui arrive rarement ? Que cela ne concerne que les très bons mathématiciens ? Ceux qui sont nés avec un talent particulier et des facilités pour la matière ? Eh bien, figure-toi que ce n'est pas toujours le cas.
Tout être humain est confronté de manière permanente à son ego. Comme nous sommes des êtres sociaux de nature, nous cherchons souvent à nous mettre en avant, à imposer notre avis...à croire que certaines tâches ou postures sont en dessous de notre niveau. Si j'avais à choisir une définition à l'ego, je vais probablement lui donner le sens suivant :
Une tendance maladive à surestimer notre propre importance.
Nous sommes, tous, victimes de notre propre ego....moi le premier.
Mais quels liens y a-t-il avec les mathématiques et leur apprentissage ? Plusieurs en réalité ! Je vais te donner quelques situations pratiques dans lesquels je retrouve l'ego dans une classe de mathématiques :
- Je sais faire, donc pas la peine de faire : C'est l'exemple qui me vient tout de suite lorsqu'il s'agit d'ego. Il n'est pas rare qu'un bon élève (mais pas que), sous-estime une tâche donnée par son professeur :
- L'exercice est trop facile dont pas la peine que je le fasse.
- Je n'ai pas besoin de rédiger correctement sur mon cahier d'exercices, je le ferais sur ma copie d'examen.
- Y en a marre de répéter les mêmes calculs !
Toutes ces phrases viennent de ton ego. Il te souffle l'idée selon laquelle tu es meilleur que les autres, que tu n'as pas besoin de t'exercer sur les parties fastidieuses et répétitives. Sauf que c'est cette partie-là du travail qui te permet de créer les bons automatismes...à te rendre plus efficace. - J'ai eu une meilleure note que mon camarade : Le comportement que je n'aime pas du tout voir dans une classe survient toujours lorsque je rends des devoirs. Le réflexe que beaucoup ne s'empêchent pas d'avoir est celui de comparer leur copie avec celle du voisin, leur note avec celle du copain...surtout leurs notes de mathématiques.
Au lieu d'avoir une attitude autocentrée de critique personnelle, de regarder ses propres erreurs et d'essayer de tirer des leçons du passé, beaucoup d'élèves se livrent à un exercice de comparaison très malsain. Dans certaines classes, il arrive que ce climat de compétition (qui en soit, n'est pas toujours mauvais) devienne très toxique. Cette attitude n'est souvent que le fruit d'un ego personnel qui nous fait oublier l'essentiel : La seule personne à laquelle il faut se comparer est le soi-même d'hier. - Je sais mieux que le professeur : Personne n'est parfait et tout le monde fait des erreurs. Les professeurs ne sont pas une exception à cette règle. Et quand cela arrive, il est très légitime de la part de l'élève de le faire remarquer. Sauf qu'il ne faut pas oublier d'être poli pour autant. Il arrive assez souvent que des élèves s'y prennent très mal de ce type de situations. A minima, la remarque est très maladroite. Il arrive également qu'ils fassent remarquer l'erreur avec un air hautain, réprobateur...voire méprisant. Heureusement, ce deuxième cas de figure reste très minoritaire et les professeurs ont souvent assez de zèle pour le prendre avec philosophie. Mais il ne faut pas oublier que l'acte de l'apprentissage commence par un acte de détachement de son propre ego.
Alors, n’oublie pas :
Se détacher de son ego est le point de départ de tout apprentissage !
⛳18...comme les 18 trous d'un terrain de golf !
Le nombre du jour est le 18 ! J'aurai pu mentionner plusieurs anecdotes intéressantes le concernant. Après tout, le nombre 18 est l'age de majorité dans la plupart des pays du monde moderne. Il est aussi le numéro atomique de l'argon par exemple. Mais j'ai plutôt choisi de te parler de son lien avec le golf !
Je ne sais pas si tu es au courant, mais il y a 18 trous dans un terrain de golf. La légende dit que cela nous vient du célèbre Old Course à St-Andrews en Ecosse. C'est le plus ancien parcours où le golf se jouait déjà en 1552.
Les Écossais auraient décidé qu'un parcours de golf comporterait 18 trous car une bouteille de Scotch Whiskey contiendrait 18 gorgées. Ainsi, le jeu prenait fin en même temps que le Whiskey si on se limite à une gorgée par trou.
Mais ceci n'est qu'une légende ! Et entre ce qui est vrai et ce qui ne l'est pas...je te laisse chercher par tes propres moyens et te faire ta propre idée. 😉
🤯 Les fractions continues...une façon très originale d'écrire des nombres.
L'idée de cette rubrique m'est venue, comme souvent, en discutant avec mes élèves de terminale. Nous étions en train d'aborder la notion de composition de deux fonctions et il fallait leur donner un exemple.
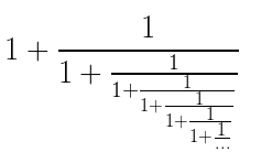
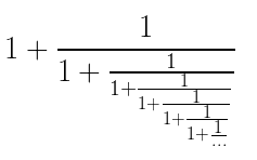
Voici ce que je leur ai proposé :

La question était la suivante : quelle fonction dois-je composer avec elle-même à l'infini pour obtenir cette fraction ?
La réponse est bien évidemment :
\[f(x)=1+\frac{1}{x}\]
Cette question qui, je vous l'accorde, n'est pas très simple m'amène alors sur le sujet des fractions continues. Ce sont des objets mathématiques très curieux qui permettent de donner des approximations très fines des nombres irrationnels. Celle que j'ai illustrée ci-dessus donne par exemple une excellente approximation du nombre d'or (Pour en savoir plus sur la divine proportion, je t'invite à lire la lettre #15 : ICI)
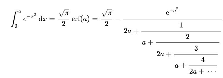
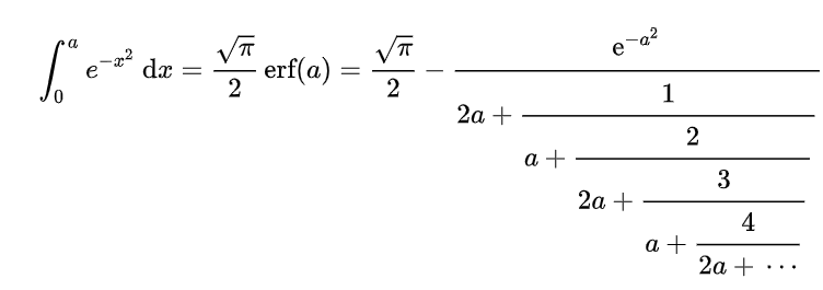
Évoquer cette notion m'amène à te parler d'un mathématicien brillantissime : Srinivasa Ramanujan.
Ce nom est étroitement lié à la notion des fractions continues. Son ingéniosité et sa créativité dans ce domaine sont légendaires. Voici des exemples de calculs de fractions continues que Ramanujan propose :



🎦 Youtube Math find : The man who knew infinity
Je n'en ai pas dit beaucoup sur la vie de Ramanujan et qui il est dans le paragraphe précédent. Ce n'est pas un hasard. Puisque la vidéo que je vais te montrer ci-dessous n'est rien d'autre qu'une bande-annonce d'un film qui est sortie en 2016 et qui raconte la vie extraordinaire de ce mathématicien. 👇
Si tu ne connais pas grand-chose à son propos, je t'invite à voir ce film. Tu comprendras mieux ma fascination pour le personnage ! 😄
💞 Mon coup de cœur de la semaine
Mon plus grand coup de cœur de la semaine est une lecture d'un article qui s'appelle : Why Mathematicians Study Knots ?
Si tu souhaites également le lire, je t'invite à suivre le lien suivant 👇

Discussion entre membres