Salut cher(e) ami(e) đ
L'examen de spécialité en mathématiques a eu lieu de cette semaine. Comme la plupart des professeurs, j'ai dû surveiller le déroulement des épreuves. Et puisque c'est la premiÚre épreuve de Bac de mathématiques postréforme, j'étais trÚs curieux de voir les sujets proposés.
C'Ă©tait une dĂ©ception complĂšte đ
Au programme :
- Les examens de spécialité...qui ne spécialise en rien !
- Une idée d'un sujet pour le grand oral pour les terminales #2.
- Ăcrire pour mieux rĂ©flĂ©chir : Les systĂšmes de prise de notes.
- Mes coups de cĆur de la semaine.
đ Les examens de spĂ©cialitĂ©...qui ne spĂ©cialise en rien !
Quand j'ai entendu parler de la réforme pour la premiÚre fois, j'étais sincÚrement trÚs enthousiaste. L'idée était, du moins en théorie, trÚs prometteuse.
Donner aux élÚves la possibilité de choisir leurs matiÚres puis d'en faire de vrais spécialistes en approfondissant davantage les notions et en augmentant le seuil des exigences (qui était jusqu'alors au ras des pùquerettes !) est une idée qui a tout pour séduire le mathématicien que je suis.
Bien Ă©videmment, la promesse Ă©tait trop belle pour ĂȘtre vraie đ
Je vais taire ici les aspects organisationnels internes Ă l'E.N qui rendent ce rĂȘve trĂšs irrĂ©alisable (Ă l'Ă©chelle nationale bien Ă©videmment, car c'est tout Ă fait atteignable localement) et je vais me concentrer sur la derniĂšre preuve de sa faillite intellectuelle : Ce qu'est devenu l'examen du Bac.
Afin que tu puisses t'en rendre compte, je vais procéder à l'inventaire des "aménagements" du bac de mathématiques 2022 :
- L'examen ne porte pas sur l'option mathématique experte pour ceux qui l'ont choisi alors que c'était le cas pour l'option équivalente dans l'ancien bac.
- Beaucoup...beaucoup moins de contenu au programme de l'examen. Les intégrales ne sont plus évaluables en examen national par exemple.
- 4 sujets sont proposés aux élÚves dont un QCM. (C'est déjà un GROS aménagement d'avoir un QCM)
- Ils doivent en traiter seulement 3 (la cerise sur le gĂąteau) en 4 heures.
Alors, je vais te poser une petite question : Est-ce que ma liste ci-dessus est cohérente avec l'idée principale de former des "spécialistes" ?
Fin de l'argumentaire !
Si tu souhaites jeter un coup d'Ćil aux Ă©preuves et aux corrections đ

đĄUne idĂ©e d'un sujet pour le grand oral pour les terminales #2
La semaine derniĂšre, je t'ai donnĂ© une idĂ©e de mathĂ©matiques appliquĂ©es au sport (Si tu as ratĂ© cela, tu peux aller lire : ICI). Cette semaine, je reviens Ă un sujet bien plus thĂ©orique : Le triangle de Tribonacci (et non, ce n'est pas une erreur de frappe đ ).
Si tu es l'un de mes élÚves, alors tu sais bien à quel point j'adore la suite de Fibonnaci et le triangle de Pascal qu'elle engendre. D'ailleurs, si tu es en terminale, alors tu as déjà eu le plaisir de traiter ces notions-là .
Petit rappel : la suite de Fibonnaci est la suite qui commence par les deux nombres : 0 et 1 et qui construit l'élément suivant en tant que somme des deux précédents. On obtient alors une séquence infinie du type : 0 ; 1 ; 1 ; 2 ; 3 ; 5 ; 8 ; ...
Cette sĂ©quence apparaĂźt de maniĂšre trĂšs inattendue dans le triangle de Pacal lorsqu'on fait la somme des diagonales. đ

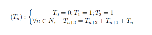
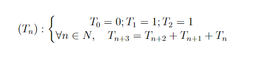
Passons, Fibonnaci n'est pas le sujet ici (mĂȘme si je peux en parler pendant des heures đ). C'est Tribonacci qui nous intĂ©resse !
QuĂšsaco â
Eh bien, c'est presque la mĂȘme idĂ©e que la suite de Fibonnaci...sauf qu'on additionne trois nombres consĂ©cutifs pour trouver le suivant :

Cela donne également naissance un petit frÚre trÚs élégant au triangle de Pascal que voici :

J'imagine que tu as compris quelle est la problématique du jour, n'est pas ? Si ce n'est toujours pas le cas, voici une proposition de formulation :
Comment construire le triangle de Tribonacci en analogie avec le triangle de Pascal ?
Si tu souhaites en savoir plus sur le sujet et que tu es doué en anglais, alors je te propose de lire l'article suivant :
Ou alors tu peux aussi m'écrire pour en parler : rguejdad@acmathematica.com
â ïž Un avertissement quand mĂȘme, Ăąmes sensibles s'abstenir đ
đïž Ăcrire pour mieux rĂ©flĂ©chir : Les systĂšmes de prise de notes.
Je vais commencer cette section par citer Jordan B. Peterson :
The primary reason to write is so that the writer can formulate and organize an informed, coherent and sophisticated set of ideas about something important
Oui, je sais...pas besoin de me faire remarquer Ă quel point je suis influencĂ© par des courants anglophones. đ
Mais revenons au cĆur du sujet. Je vais partir d'une croyance personnelle : Il faut Ă©crire pour construire une rĂ©flexion logique et bien argumentĂ©e. C'est trĂšs vrai en mathĂ©matiques, mais je pense que cela s'applique Ă tout effort intellectuel.
Sauf qu'écrire sur un papier (ou tout autre support s'y assimilant) me pose un petit souci personnel : La dimension linéaire de la pensée. Je m'explique : Quand tu écris sur un papier ou sur un Word par exemple, tu es toujours prisonnier d'un format qui t'impose d'aller dans un seul sens (de haut en bas). Dans une écriture trÚs linéaire.
Mais heureusement, avec les nouvelles technologies, il est maintenant possible de sortir de ce format en exploitant l'horizontalité. Des outils comme notion ou encore Obsidian le permettent assez facilement en liant des documents parallÚles.
J'ai dĂ©jĂ parlĂ© de notion ici đ
Et si tu souhaites en savoir plus sur Obsidian, je te conseille d'aller voir par lĂ .đ

Tu l'auras compris, ces deux outils sont mes recommandations EdTech de la semaine. Souhaites-tu en savoir plus sur les potentiels usages de ces outils pour un élÚve ou un professeur ? Si oui, alors n'hésite pas à m'en toucher deux mots en répondant à ce mail !
đ Mes coups de cĆur de la semaine.
- Un échange intéressant avec une inconnue sur LinkedIn : J'ai partagé un post LinkedIn sur l'épreuve du bac et à quel point je suis admiratif des élÚves de cette année (vu toutes les circonstances...y compris celles mentionnées au début de ce mail). Une dame que je ne connais pas du tout a commenté mon post et nous avons eu un bref échange assez sympathique. Tu peux le retrouver : Ici
- Un échange avec un de mes anciens élÚves : Tu l'auras remarqué, j'adore échanger (n'hésite donc pas à me contacter pour discuter via e-mail, sur Instagram ou LinkedIn).
Mayeul (que je salue fortement s'il me lit ici!), un de mes anciens Ă©lĂšves m'a envoyĂ© son programme de mathĂ©matiques Ă l'EPFL aprĂšs une petite discussion. Comparer les programmes universitaires suisses Ă ce qui se fait en France est trĂšs intĂ©ressant jusquâici ! - Synapses - YouTube : Ma dĂ©couverte Ă©conomique de la semaine ! Une chaĂźne qui aborde les dĂ©fis Ă©conomiques actuels via des interviews avec des experts qui sont trĂšs pĂ©dagogues. Si tu es un Ă©lĂšve qui souhaite faire des Ă©tudes d'Ă©conomie ou une Ă©cole de commerce par la suite, je te conseille vivement d'y jeter un coup d'Ćil.
VoilĂ , c'est tout pour cette semaine !
Dis-moi ce que tu en as pensé directement en répondant à ce mail ou bien via Instagram.
Tu as aimĂ© cet e-mail ? TransfĂšre-le Ă une personne qui te donne le đ. Elle peut sâinscrire ici.
Tu n'as pas aimĂ© cet e-mail ? TransfĂšre-le Ă une personne que tu n'aimes pas. Elle peut sâinscrire ici. đ


Discussion entre membres